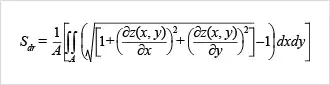
SDR(开发的界面面积比) 该参数表示为与平面定义区域相比,定义区域的附加面积的附加面积的百分比。 完全水平表面的SDR为0。 当表面有任何斜率时,其SDR值变大。下面的表面是具有45度的梯度组分的平面,并且具有0.414的SDR值。
从参数列表中搜索 高度 SA(算术平均高度) SZ(最大高度) SQ(均均线高度) SSK(歪斜) sku(kurtosis) SP(最大峰高) SV(最大坑高) 空间 SAL(自动相关长度)/ str(纹理纵横比) std *(纹理方向) 杂交种 SDQ(根均方梯度) SDR(开发的界面面积比) 功能 SMR(C)面积材料(轴承面积)比率 SMC(MR)反面积材料比率 SK(核心高度) SPK(降低峰值高度) SVK(减少戴尔高度(减少谷深度)) SMR(峰值材料部分) SMR2(谷材料部分) SXP(峰值极度高度) 功能卷 VVV(Dale Void Volume) VVC(核心空隙量) VMP(峰值材料体积) VMC(核心材料体积) 特征 SPD(峰的密度) SPC(算术平均峰值曲率) S10Z / S5P / S5V / SDA(C)/ SHA(C)/ SDV(C)/ SHV(C)