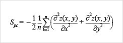
Spc (Arithmetic mean peak curvature)
Spc (arithmetic mean peak curvature) represents the arithmetic mean of the principal curvature of the peaks on the surface. A smaller value indicates that the points of contact with other objects have rounded shapes; a larger value indicates that the points of contact with other objects have pointed shapes.


